| Spectral Angle Mapper Processor | ![]() |

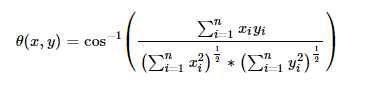
x= spectral signature vector of an
image pixel;
y = spectral signature vector of a training
area;
n = number of image bands.

Ck = land cover class
k;
yk = spectral signature of class k;
yj = spectral signature of class j.


Source ProductSpecify the source product. Target ProductName : Used to specify the name of the target product. Save as : The target product will be
automatically saved. The combo box presents a list of file formats,
like BEAM-DIMAP, JPEG200, GeoTIFF, and HDF5 and other image
formats. The text field allows to specify a target directory. Open in ESA SNAP : Used to specify whether the target product should be opened in the application. When the target product is not saved, it is opened automatically. |
![]() |
Bands selectionSpecify the source product bands on which the SAM
processor will be applied. Must be at least 2 bands. Multiple bands
will be selected by using the Ctrl key Resampling parametersResample Type Spectrum Classes InputThe tool buttons to the left of the list field are used to modify the list of Spectrum defined classes. They are:
In order to set the threshold for each class, the
classes must be selected from the list and the "Set Thresholds"
button must be pressed. This action will create a slider bar for
each class selected in the "Thresholds" tab. |
![]() |
Spectrum Classes Input ThresholdsSpecify a threshold value for each spectrum class
selected from the SAM parameters panel. The smaller the value the
less likelihood that evaluated pixels can make part of the specific
class but the resulting pixels will be more appropriate as
resemblance to the pixels defined class |
![]() |
The CSV format used to import and export spectrum
classes is a plain text format. It comprises a header line defining
the spectrum classes. The second line defines if the respective
input is user defined or is one used from the shapes drawn using
the rectangle drawing tool, polygon drawing tool
or the ellipse drawing tool.
The values represent pixel position for each spectrum input class.
First line is the X coordinate and the next one is the Y coordinate
of a pixel and so on. The number of inputs must be even. If two
inputs are introduced it means that the spectral angle will define
a class and use as reference a single pixel. If 4 values are
introduced it means that the spectral angle will define a class and
use as reference a mean value of the 2 pixels locations introduced.
If 6 or more values are introduced those will represent the corners
of a polygon shape and the spectral angle will define a class and
use as reference a mean value of the pixels that are situated
within the polygon shape defined by the input location pixels
introduced.
It should be taken into consideration that the pixels locations
must be within the image size. When working with multi-size
products the pixel values introduced by the user must be defined in
the range of the size the target product will have meaning that if
the user wants the target product to be resampled to the smallest
size, the pixel values must be taken from the band that has the
smallest size and vice versa. In case of shapes drawn there is no
problem as the algorithm automatically transpose the shape
accordingly with the target product size.
The , character is used to separate header and
record fields. Given here is an example of the contents of a CSV
spectrum class input file:
Forrest Cropland Grassland Ocean true false true false 53 66 76 570 147 266 273 761 70 N/A 76 603 160 N/A 280 780 130 N/A 90 N/A 200 N/A 273 N/A